Umpolung Activation of Bicyclobutanes via N‐Heterocyclic Carbene Catalysis
Yu‐Che Changa, Renyu Guoa, Thomas Fessardb, Quentin Lefebvreb, Christophe Salomeb*, M Kevin Browna*
Angew. Chem. Int. Ed. 2025, 64, e202513913
a: Department of Chemistry, Indiana University, Bloomington, IN, USA
b: SpiroChem AG, 22 Mattenstrasse, Basel 4058, Switzerland State

--Highlighted in Synfacts2025, 21, 1248
The curious case of β-boryl triplet states
Jarett M. Posza, Anagha Veluthanath Naira, Ryan Van Hovelnb*, M Kevin Browna*
Trends in Chemistry, 2025, 7, 9, 557-558
a: Department of Chemistry, Indiana University, Bloomington, IN, USA
b: Department of Chemistry and Physics, Indiana State University, 600 Chestnut Street, Terre Haute, Indiana, 47809, USA

- Trends in Chemistry Mechanism of the Month 2025
Synthesis of Borylated Orphaned Cyclopropanes through a Boron-Enabled Cycloisomerization Reactiones
Jarett M. Posza, Anagha Veluthanath Naira, Ryan Van Hovelnb*, M Kevin Browna*
J. Am. Chem. Soc. 2025, 147, 28, 24193–24200
a: Department of Chemistry, Indiana University, Bloomington, IN, USA
b: Department of Chemistry and Physics, Indiana State University, 600 Chestnut Street, Terre Haute, Indiana, 47809, USA

Approach Toward Stereoselective α‐Arylation by Pd/Cu‐Catalyzed Arylboration of Electron Deficient Alkenes
Suman Das, Maeve A Reilly, Stanna K Dorn, Allison M Pearson, M Kevin Brown
Angew. Chem. Int. Ed. 2025, 64, e202424073

Catalyst-Controlled Regiodivergent Synthesis of Bicyclo [2.1. 1] hexanes via Photochemical Strain-Release Cycloadditions
Yu-Che Changa, María Martína, Kingsley Borteya, Quentin Lefebvreb, Thomas Fessardb, Christophe Salomeb*, Ricardo Javier Vázqueza*, M Kevin Browna*
J. Am. Chem. Soc. 2025, 147, 18, 14936–14944
a: Department of Chemistry, Indiana University, Bloomington, IN, USA
b: SpiroChem AG, 22 Mattenstrasse, Basel 4058, Switzerland State

An unconventional photochemical tetrahydroisoquinoline synthesis from sulfonylimines and alkenes
Wang Wang1 ∙ Bodi Zhao2 ∙ Xiaotian Qi2 ∙ M. Kevin Brown1, 3
1: Department of Chemistry, Indiana University, Bloomington, IN, USA
2: State Key Laboratory of Power Grid Environmental Protection, College of Chemistry and Molecular Sciences, Wuhan University, Wuhan 430072, Hubei, P.R. China
- Highlighted by Indiana University here
- Highlighted in Synfacts 2025, 21, 1014
Facile Synthesis of Housanes by an Unexpected Strategy
Yanyao Liu, a# Somanea Tranin, a# Yu-Che Chang, a Evan B. Piper, a Thomas Fessard, b Ryan Van Hoveln, c* Christophe Salomeb* and M. Kevin Browna*
a Department of Chemistry, Indiana University, 800 E. Kirkwood Ave, Bloomington, IN 47405, USA
b SpiroChem AG, 22 Mattenstrasse, Basel 4058, Switzerland
c Department of Chemistry and Physics, Indiana State University, 600 Chestnut Street, Terre Haute, Indiana, 47809, USA
# These authors contributed equally to the completion of this work.
J. Am. Chem. Soc. 2025, 147, 8, 6318–6325

Boron Enabled Directed [2+2]- and Dearomative [4+2]-Cycloadditions Initiated by Energy Transfer
Souvik Adak, Partha Sarathi Hazra, Carter B. Fox, and M. Kevin Brown
Angew. Chem. Int. Ed. 2024, e202416215

Synthesis of Secondary Boronates via Deaminative Cross-Coupling of Alkyl Nitroso Carbamates and Boronic Acids
Shashwati Paul and M. Kevin Brown
Angew. Chem. Int. Ed. 2024, e202408432

- Highlighted in Synfacts 2024, 20, 1228
Diverse Synthesis of C‑Glycosides by Stereoselective Ni-Catalyzed Carboboration of Glycals
Mao-Yun Lyu, Samuel A. Jacobo, and M. Kevin Brown
J. Am. Chem. Soc., 2024, 146, 28, 18866–18872

- Highlighted in Synfacts 03092024, 20(09), 0993
Synthesis of Borylated Carbocycles by [2 + 2]-Cycloadditions and Photo-Ene Reactions
Jarett M. Posza, Neetu Sharmaa, Paige A. Royaltya, Yanyao Liua, Christophe Salomeb,* Thomas C. Fessardb, and M. Kevin Browna*
a Department of Chemistry, Indiana University, Bloomington, IN
b SpiroChem AG, Basel, Switzerland
J. Am. Chem. Soc. 2024, 146, 14, 10142–10149

- Highlighted in Synfacts 03092024, 20(09), 0994
Photochemical Reduction of Quinolines with γ-Terpinene
Souvik Adak, Sarah E. Braley, and M. Kevin Brown
Org. Lett. 2024, 26, 1, 401–405.

Ni-Catalyzed 1,1- and 1,3-Aminoboration of Unactivated Alkenes
Mao-Yun Lyu,† Gabriel N. Morais,‡ Shuming Chen*,‡ and M. Kevin Brown*,†
J. Am. Chem. Soc. 2023 145, 50, 27254–27261.

- Highlighted in Chemistry Views
- Highlighted in Synfacts 2024; 20(03): 0278
Synthesis of 2-Azanorbornanes via Strain-Release Formal Cycloadditions Initiated by Energy Transfer
Yu-Che Chang, Christophe Salome, Thomas Fessard,* and M. Kevin Brown*
Angew. Chem. Int. Ed. 2023, 62, e202314700

- Featured in the February edition of "Some Items of Interest to Process R&D Chemists and Engineers" Org. Process Res. Dev. 2024
Highlighted in Synfacts, 2024; 20(07): 0690.
Photosensitized [2 + 2]-Cycloadditions of Dioxaborole: Reactivity Enabled by Boron Ring Constraint Strategy
Yanyao Liu and M. Kevin Brown
J. Am. Chem. Soc., 2023, 145, 25061−25067.

- Highlighted in Synfacts, 2024; 20(02): 0207.
- Highlighted in Chemistry Views
- Featured in the January edition of "Some Items of Interest to Process R&D Chemists and Engineers" Org. Process Res. Dev. 2024, 28, 1, 1–10
Cu/Pd-catalyzed arylboration of a 1-silyl-1,3-cyclohexadiene for stereocontrolled and diverse cyclohexane/ene synthesis
Phillip F. Crook, Alan R. Lear, Suman Das and M. Kevin Brown
Chem. Sci., 2023, 14, 10467-10470.

Lewis Acid Promoted [2+2] Cycloadditions of Allenes and Ketenes: Versatile Methods for Natural Product Synthesis
Renyu Guo and M. Kevin Brown
Acc. Chem. Res. 2023, 56, 2253−2264

2,5-disubstituted bicyclo[2.1.1]hexanes as rigidified cyclopentane variants
Shashwati Paul, a Daniel Adelfinsky, aChristophe Salome, b Thomas Fessard*b and M. Kevin Brown*a.
Chem. Sci., 2023, 14, 8070-8075
a Department of Chemistry, Indiana University, Bloomington, IN
b SpiroChem AG, Basel, Switzerland

- Featured in the September edition of "Some Items of Interest to Process R&D Chemists and Engineers": Org. Process Res. Dev. 2023
Photosensitized [4+2]- and [2+2]-Cycloaddition Reactions of N-Sulfonylimines
Wang Wang and M. Kevin Brown,
Angew. Chem. Int. Ed. 2023, e202305622

Synthesis of (±)-Phyltetralin by Cu/Pd-Catalyzed Arylboration
Grace L. Trammel, Abby C. Kerlin, Christian Zachau, and M. Kevin Brown.
- Special Issue in honor of Modern Boron Chemistry: 60 Years of the Matteson Reaction
Synthesis of complex bicyclic scaffolds by intermolecular photosensitized dearomative cycloadditions of activated alkenes and naphthalenes
Wang Wang, Yanyao Cai, Renyu Guo, and M. Kevin Brown.
Chem. Sci. 2022, 13, 13582-23587.

Arylboration of Enecarbamates for the Synthesis of Borylated Saturated N-Heterocycles
Grace L. Trammel1, Prashansa B. Kannangara1, Dmytro Vasko2, Oleksandr Datsenko2, Pavel Mykhailiuk2,3, and M. Kevin Brown1.
Angew. Chem. Int. Ed.2022, 61, e202212117.
1Department of Chemistry, Indiana University, Bloomington, IN
2Enamine Ltd., Kyiv, Ukraine
3Chemistry Department, Taras Shevchenko National University of Kyiv, Kyiv, Ukraine

[2]-Ladderanes as isosteres for meta-substituted aromatic rings and rigidified cyclohexanes
Rachel C. Epplin1, Shashwati Paul1, Loïc Herter2, Christophe Salome2, Erin N. Hancock1,4, Jay F. Larrow3,5, Erich W. Baum3,5, David R. Dunstan3,5, Carol Ginsburg-Moraff3, Thomas C. Fessard2, and M. Kevin Brown1.
1Department of Chemistry, Indiana University, Bloomington, IN
2SpiroChem AG, Basel, Switzerland
3Novartis Institutes for BioMedical Research, Cambridge, MA
4Present address: Corteva Agriscience,Indianapolis, IN
5Present address: Relay Therapeutics, Cambridge, MA

Boronic Ester Enabled [2 + 2]-Cycloadditions by Temporary Coordination: Synthesis of Artochamin J and Piperarborenine B
Yanyao Liu, Dongshun Ni, and M. Kevin Brown
J. Am. Chem. Soc. 2022, 144, 18790–18796.
Featured in the September edition of "Some Items of Interest to Process R&D Chemists and Engineers":

Photochemical Dearomative Cycloadditions of Quinolines and Alkenes: Scope and Mechanism Studies
Renyu Guo, aSouvik Adak, a Peter Bellotti, b Xinfeng Gao, aW. Walker Smith, a Sam (Ngan) Le, c Jiajia Ma, bK. N. Houk,*,d Frank Glorius,*,b Shuming Chen*,c and M. Kevin Brown*,a
J. Am. Chem. Soc. 2022, 144, 17680-17691.
a Department of Chemistry, Indiana University
b Westfälische Wilhelms-Universität Münster, Organisch-Chemisches Institut, Germany
c Department of Chemistry and Biochemistry, Oberlin College
d Department of Chemistry and Biochemistry, University of California, Los Angeles
*co-corresponding authors

Stereoselective [2+2]-Cycloadditions of chiral allenic ketones and alkenes: Applications towards the synthesis of benzocyclobutenes and endiandric acids
Renyu Guo, Brittany P. Witherspoon, and M. Kevin Brown.
Tetrahedron 2022, 122, 132932.

- Special Issue to honor Prof. John Wood as Editor in Chief of Tetrahedron
Strain-Release [2π + 2σ] Cycloadditions for the Synthesis of Bicyclo[2.1.1]hexanes Initiated by Energy Transfer
Renyu Guo1, Yu-Che Chang1, Loic Herter2, Christophe Salome2, Sarah E. Braley1, Thomas C. Fessard2, and M. Kevin Brown1.
J. Am. Chem. Soc. 2022, 144, 7988-7994.
1Department of Chemistry, Indiana University, Bloomington, IN
2SpiroChem AG, Basel, Switzerland

Highlighted by SpiroChem here.
Highlighted in Synfacts: Synfacts, 2022, 18 (7), 0787.
Photosensitized [2+2]-Cycloadditions of Alkenylboronates and Alkenes
Yanyao Liu*1, Dongshun Ni*1, Bernard G. Stevenson2, Vikrant Tripathy1, Sarah E. Braley1, Krishnan Raghavachari1, John R. Swierk†2, and M. Kevin Brown†1.
Angew. Chem. Int. Ed. 2022, 61, e202200725.
1Department of Chemistry, Indiana University, Bloomington, IN
2Department of Chemistry, Binghamton University, Binghamton, NY
*These authors contributed equally to this work
†Co-corresponding authors

Cooperative Pd/Cu Catalysis for Alkene Arylboration: Opportunities for Divergent Reactivity
Stanna K. Dorn and M. Kevin Brown.
ACS Catal. 2022, 12, 2058-2063

Catalytic Arylboration of Spirocyclic Cyclobutenes: Rapid Access to Highly Substituted Spiro[3.n]alkanes
Amit K. Simlandy, Mao-Yun Lyu, and M. Kevin Brown ACS Catal. 2021, 11, 12815-12820.

Nickel-Catalyzed Dearomative Arylboration of Indoles: Regioselective Synthesis of C2- and C3-Borylated Indolines
Grace L. Trammel, Rositha Kuniyil, Phillip F. Crook, Peng Liu*, and M. Kevin Brown* J. Am. Chem. Soc. 2021, 143, 16502-16511.

Highlighted in Synfacts: Synfacts, 2021, 17 (12), 1362.
Modular Synthesis of a Versatile Double-Allylation Reagent for Complex Diol Synthesis
Stanna K. Dorn, Annika E. Tharp, and M. Kevin Brown Angew. Chem. Int. Ed. 2021, 60, 16027-16034.

Photochemical Intermolecular Dearomative Cycloaddition of Bicyclic Azaarenes with Alkenes
Jiajia Ma1,*, Shuming Chen2,*, Peter Bellotti1,*, Renyu Guo3, Felix Schäfer1, Arne Heusler1, Xiaolong Zhang1, Constantin Daniliuc1, M. Kevin Brown3,†, Kendall Houk2,†, and Frank Glorius1,†. Science. 2021, 371, 1338-1345.
1Organisch-Chemisches Institut, Westfälische Wilhelms-Universität Münster, Germany
2Department of Chemistry and Biochemistry, University of California, Los Angeles, CA
3Department of Chemistry, Indiana University, Bloomington, IN
*These authors contributed equally to this work
†Co-corresponding authors
Perspective by Prof. Valerie Schmidt (UCSD): Getting excited about cycloadditions. Science. 2021, 371, 1313.
Open Access links: Full Text

Allenylidene Induced 1,2‐Metalate Rearrangement of Indole‐Boronates: Diastereoselective Access to Highly Substituted Indolines
Amit K. Simlandy and M. Kevin Brown Angew. Chem. Int. Ed. 2021, 60, 12366-12370.

Construction of Congested Csp3-Csp3 Bonds by a Formal Ni-Catalyzed Alkylboration
Amit K. Simlandy, Stephen Sardini, and M. Kevin Brown. Chem. Sci. 2021, 12, 5517-5521

Highlighted in Synfacts: Synfacts 2021, 17 (06), 0650.
Three-Component Ni-Catalyzed Silylacylation of Alkenes
Dongshun Ni and M. Kevin Brown. ACS Catal. 2021, 11, 1858-1862
Mechanism-Based Design of an Amide-Directed Ni-Catalyzed Arylboration of Cyclopentene Derivatives
Alison L. Lambright, Yanyao Liu, Isaac A. Joyner, Kaitlyn M. Logan, and M. Kevin Brown. Org. Lett., 2021, 23, 612-616
Featured in the April edition of "Some Items of Interest to Process R&D Chemists and Engineers": Org. Process Res. Dev. 2021, 25, 691-702.

Nickel-Catalyzed Arylboration of Cyclopentene
Stephen R. Sardini and M. Kevin Brown, Org. Synth. 2020, 97, 355-367

Ladderane Natural Products: From the Ground Up
Erin N. Hancock and M. Kevin Brown Chem. Eur. J., 2021, 27, 565-576

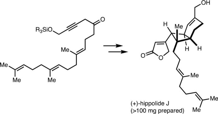
Enantioselective Synthesis of (+)-Hippolide J and Reevaluation of Antifungal Activity
Renyu Guo, Sarah Beattie, Damian J. Krysan, and M. Kevin Brown. Org. Lett., 2020, 22, 7743-7746

Stereoselective [4+2]-Cycloaddition with Chiral Alkenylboranes
Dongshun Ni, Brittany P. Witherspoon, Hong Zhang, Chen Zhou, Prof. K. N. Houk, Prof. M. Kevin Brown. Angew. Chem. Int. Ed., 2020, 59, 11432
Selected as a Hot Paper

Evolution of a Strategy for the Enantioselective Synthesis of (-)-Cajanusine
Renyu Guo, Brittany P. Witherspoon† and M. Kevin Brown* J. Am. Chem. Soc., 2020, 142, 5002

Lessons in Strain and Stability: An Enantioselective Synthesis of (+)-[5]-Ladderanoic Acid
Erin N. Hancock, Erin L. Kuker, Dean Tantillo, and M. Kevin Brown Angew. Chem. Int. Ed. 2020, 59, 436
Highlighted in:
• Synfacts "Synfact of the month" DOI: 10.1002/anie.201910901

Ni-Catalyzed 1,2-Benzylboration of 1,2-Disubstituted Unactivated Alkenes
Seewon Joung, Allison M. Bergmann, and M. Kevin Brown Chem. Sci., 2019, 10, 10944

Regioselective Arylboration of 1,3-Butadiene
Allison M. Bergmann, Stephen R. Sardini, Kevin B. Smith, and M. Kevin Brown, Isr. J. Chem., 2020, 60, 394
• Special invited article to celebrate Professors Buchwald and Hartwig’s receipt of the Wolf Prize

Nickel-Catalyzed Arylboration of Alkenylarenes: Synthesis of Boron-Substituted Quaternary Carbons and Regiodivergent Reactions
Liang-An Chen, Alan Lear, Pin Gao, and M. Kevin Brown, Angew. Chem. Int. Ed., 2019, 58, 10956-10960

(Hetero)arylboration of alkynes: a strategy for the synthesis of α,α-bis(hetero)arylketones
Yuan Huang, Allison Bergmann, and M. Kevin Brown, Org. Biomol. Chem. 2019, 17, 5913-5915.
• Special invited article for Trends in Organoboron Chemistry

Thioallenoates in catalytic enantioselective [2+2]-cycloadditions with unactivated alkenes
Michael L. Conner, Johannes M. Wahl, and M. Kevin Brown, Tetrahedron, 2019, 24, 3265-3271
• Special issue to honor Professor Ryan Shenvi’s receipt of the Tetrahedron Young Investigator Award

Ni-Catalyzed Arylboration of Unactivated Alkenes: Scope and Mechanistic Studies
Stephen R. Sardini*, Alison L. Lambright*, Grace L. Trammel, Humair H. Omer, Peng Liu†, and M. Kevin Brown† J. Am. Chem. Soc. 2019, 141, 9391-9400.
* These authors contributed equally to this work
†Co-corresponding authors

Recent Advances in the Synthesis of Gem-dimethylcyclobutane Natural Products
Erin N. Hancock, Johannes M. Wahl and M. Kevin Brown Nat. Prod. Rep., 2019, 36, 1383-1393

Synthesis of Bisheteroarylalkenes by Heteroarylboration: Development and Application of a Pyridylidene-Cu Complex
Yuan Huang, and M. Kevin Brown Angew. Chem. Int. Ed. 2019, 58, 6048-6052

Catalyst-Controlled 1,2- and 1,1-Arylboration of α-Alkyl Alkenylarenes.
Allison Bergmann*, Stanna Dorn*, Kevin Smith, Kaitlyn Logan, and M. Kevin Brown, Angew. Chem. Int. Ed. 2019, 58, 1719-1723
* These authors contributed equally to this work
Selected as a Hot Paper

Allenoates in Enantioselective [2+2] Cycloadditions: From a Mechanistic Curiosity to a Stereospecific Transformation
Johannes M. Wahl, Michael L. Conner, and M. Kevin Brown J. Am. Chem. Soc. 2018, 140, 15943-15949

Nickel-Catalyzed Stereoselective Diarylation of Alkenylarenes
Pin Gao, Liang-An Chen, and M. Kevin Brown, J. Am. Chem. Soc. 2018, 140, 10653-10657
Highlighted in:
•Synfacts DOI:10.1055/s-0037-1611316

Copper-Catalyzed Cross-Coupling of Aryl-, Primary Alkyl-, and Secondary Alkylboranes with Heteroaryl Bromides
Allison M. Bergmann, Adam M. Oldham, Wei You, and M. Kevin Brown Chem. Commun. 2018, 54, 5381-5384

Copper‐Catalyzed Heteroarylboration of 1,3‐Dienes with 3‐Bromopyridines: A cine Substitution
Kevin B. Smith, Dr. Yuan Huang, and M. Kevin Brown Angew. Chem. Int. Ed. 2018, 57, 6146-6149

Synthesis of (-)-Hebelophyllene E: An Entry to geminal Dimethyl-cyclobutanes by [2+2] Cycloaddition of Alkenes and Allenoates
Johannes M. Wahl, Michael L. Conner, and M. Kevin Brown, Angew. Chem. Int. Ed. 2018, 57, 4647-4651

Highlighted in Synfacts: Synfacts 2018, 14 (05), 0453.
Nickel-Catalyzed Stereoselective Arylboration of Unactivated Alkenes
Kaitlyn M. Logan, Stephen R. Sardini, Sean D. White, and M. Kevin Brown, J. Am. Chem. Soc. 2018, 140, 159-162
Highlighted in:
• Synfacts DOI: 10.1055/s-0037-1609287

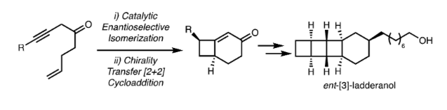
Synthesis of ent-[3]-Ladderanol: Development and Application of Intramolecular Chirality Transfer [2+2] Cycloadditions of Allenic Ketones and Alkenes
Nathan Line*, Brittany Witherspoon*, Erin Hancock and M. Kevin Brown, J. Am. Chem. Soc., 2017, 139, 14392
* These authors contributed equally to this work

Cu-Catalyzed Borylacylation of Activated Alkenes with Acid Chlorides
Yuan Huang, Kevin Smith, and M. Kevin Brown, Angew. Chem. Int. Ed., 2017, 56, 13314
Highlighted in:
• Synfacts DOI: 10.1055/s-0036-1591657

Catalyst Controlled Regiodivergent Arylboration of Dienes
Stephen R. Sardini and M. Kevin Brown, J. Am. Chem. Soc. 2017, 139, 9823

Intramolecular Chirality Transfer [2 + 2] Cycloadditions of Allenoates and Alkenes
Yao Xu, Young J. Hong, Dean J. Tantillo, and M. Kevin Brown, Org. Lett. 2017, 19, 3703
![Intramolecular Chirality Transfer [2 + 2] Cycloadditions of Allenoates and Alkenes](/images/gallery-images/pub-21.png)
Regioselective Arylboration of Isoprene and its Derivatives by Cu/Pd Cooperative Catalysis
Kevin B. Smith and M. Kevin Brown, J. Am. Chem. Soc., 2017, 139, 7721

Catalytic Enantioselective Arylboration of Alkenylarenes
Kaitlyn M. Logan and M. Kevin Brown, Angew. Chem. Int. Ed., 2017, 56, 851-855
Highlighted in:
•Synfacts DOI: 10.1055/s-0036-1590157

Bringing Organic Chemistry to the Public: Structure and Scent in a Science Museum
M. Kevin Brown*, and Laura C. Brown*, Karen Jepson-Innes, Michael Lindeau, and Jeremy Stone J. Chem. Educ., 2017, 94, 251–255
* These authors contributed equally to this work

Synthesis of Cyclobutanes by Lewis Acid-Promoted Ketene-Alkene [2+2] cycloaddtions
Christopher M. Rasik, Eleni Salyers, and M. Kevin Brown, Org. Synth. 2016, 93, 401
![Image of Synthesis of Cyclobutanes by Lewis Acid-Promoted Ketene-Alkene [2+2] cycloaddtions](/images/gallery-images/pub-17.jpg)
Synthesis of 1,3-substituted Cyclobutanes by Allenoate-Alkene [2+2] Cycloaddition
Michael L. Conner and M. Kevin Brown, J. Org. Chem., 2016, 81, 8050-8060

An Unexpected Lewis Acid Catalyzed Diels-Alder Cycloaddition of Aryl Allenes and Acrylates
Michael L. Conner and M. Kevin Brown, Tetrahedron, 2016, 72, 3759-3765
• Special issue to honor Professor Neil Garg’s receipt of the Tetrahedron Young
Investigator Award

Collaborative Total Synthesis: Routes to (±)-Hippolachnin A Enabled by Quadricyclane Cycloaddition and Late-Stage C-H Oxidation
Monica E. McCallum*, Christopher M. Rasik*, John L. Wood†, and M. Kevin Brown†, J. Am. Chem. Soc., 2016, 138, 2437-2442
*These authors contributed equally to this work
†Co-corresponding authors
Highlighted in:
• C&EN: 2016, 94, 8, p. 3
• Synfacts "Synfact of the month": DOI:10.1055/s-0034-1380008

Catalytic Enantioselective Diarylation of Alkenes
Wei You and M. Kevin Brown, J. Am. Chem. Soc., 2015, 137, 14578-14581
Highlighted in:
• Synfacts DOI: 10.1055/s-0035-1561165

Lewis Acid-Promoted [2+2] Cycloadditions of Alkenes with Arylketenes
E. M. Rigsbee, C. Zhou, C. M. Rasik, A. Z. Spitz, A. J. Nichols and M. Kevin Brown, Org. Biomol. Chem., 2016, 14, 5477-5480
• Invited article for "New Talent Issue"

Cyclobutane Synthesis by Catalytic Enantioselective [2+2] Cycloaddition
Yao Xu and Michael L. Conner and M. Kevin Brown, Angew. Chem. Int. Ed. 2015, 54, 11918-11928.

Catalytic Enantioselective Allenoate-Alkene [2+2] Cycloadditions
Michael L. Conner*, Yao Xu* and M. Kevin Brown, J. Am. Chem. Soc. 2015, 137, 3482-3485.
* These authors contributed equally to this work
Highlighted in:
• ChemInform DOI:10.1002/chin.201534090

Copper/Palladium Synergistic Catalysis for the syn- and anti-Selective Carboboration of Alkenes
Kaitlyn M. Logan*, Kevin B. Smith* and M. Kevin Brown, Angew. Chem. Int. Ed. 2015, 54, 5228-5231.
* These authors contributed equally to this work

Highlighted in Synfacts: Synfacts 2015 11 (06), 0651.
Total Synthesis of Gracilioether F: Development and Application of Lewis Acid-Promoted Ketene-Alkene [2+2]-Cycloadditions and Late Stage C-H Oxidation
Christopher M. Rasik and M. Kevin Brown, Angew. Chem. Int. Ed. 2014, 53, 14522-14526

Diarylation of Alkenes by a Cu-Catalyzed Migratory Insertion/Cross Coupling Cascade
Wei You, and M. Kevin Brown, J. Am. Chem. Soc. 2014, 136, 14730–14733

Origins of Diastereoselectivity in Lewis Acid Promoted Ketene–Alkene [2 + 2] Cycloadditions
Christopher M. Rasik, Young J. Hong, Dean J. Tantillo, and M. Kevin Brown, Org. Lett. 2014, 16, 5168-5171

Alkene Carboboration Enabled by Synergistic Catalysis
Kevin B. Smith, Kaitlyn M. Logan, Wei You, and M. Kevin Brown, Chem. Eur. J. 2014, 20, 12032-12036

Copper-Catalyzed Cross-Coupling of Boronic Esters with Aryl Iodides and Application to a Carboboration of Alkynes and Allenes
Yiqing Zhou*, Wei You*, Kevin B. Smith and M. Kevin Brown, Angew. Chem. Int. Ed. 2014, 53, 3475-3479.
* These authors contributed equally to this work
Highlighted in:
• Synfacts DOI:10.1055/s-0033-1341289

Intermolecular Ketene-Alkene [2+2] Cycloadditions: The Significance of Lewis Acid-Promoted Variants
Christopher M. Rasik and M. Kevin Brown, Synlett. 2014, 25, 760-765.
• Invited Synpact Review

Stereoselective Synthesis of All-Carbon Tetrasubstituted Alkenes from In Situ Generated Ketenes and Organometallic Reagents
Wei You, Yan Li and M. Kevin Brown, Org. Lett. 2013, 15, 1610–1613.
Highlighted in:
• Synfacts "Synfact of the month" DOI:10.1055/s-0033-1338905
• ChemInform DOI:10.1002/chin.201332056

Lewis Acid-Promoted Ketene–Alkene [2 + 2] Cycloadditions
Christopher M. Rasik and M. Kevin Brown, J. Am. Chem. Soc. 2013, 135, 1673-1676.
Highlighted in:
• Synfacts DOI:10.1055/s-0032-1318470
• ChemInform DOI:10.1002/chin.201329050

Graduate Publications
"Sulfonate N‐Heterocyclic Carbene–Copper Complexes: Uniquely Effective Catalysts for Enantioselective Synthesis of C−C, C−B, C−H, and C−Si Bonds" Prof. Amir H. Hoveyda, Yuebiao Zhou, Dr. Ying Shi, Prof. M. Kevin Brown, Dr. Hao Wu, and Dr. Sebastian Torker, Angew. Chem. Int. Ed. 2020, 59, 21304-21359.
"Enantioselective Total Synthesis of Clavirolide C. Applications of Cu-Catalyzed Asymmetric Conjugate Additions and Ru-Catalyzed Ring-Closing Metathesis," M. Kevin Brown and Amir H. Hoveyda, J. Am. Chem. Soc. 2008, 130, 12904-12906.
• Highlighted in Nature Chemistry, September 2008
"Enantioselective Synthesis of All-Carbon Quaternary Stereogenic Centers by Catalytic Asymmetric Conjugate Additions of Alkyl and Aryl Aluminum Reagents to Five-, Six-, and Seven-Membered-Ring -Substituted Cyclic Enones," Tricia L. May, M. Kevin Brown and Amir H. Hoveyda, Angew. Chem., Int. Ed. 2008, 47, 7358-7362.
"Highly Site- and Enantioselective Cu-Catalyzed Allylic Alkylation Reactions with Easily Accessible Vinylaluminum Reagents," Yunmi Lee, Katsuhiro Akiyama, Dennis G. Gillingham, M. Kevin Brown and Amir H. Hoveyda, J. Am. Chem. Soc. 2008, 130, 446-447.
"All-Carbon Quaternary Stereogenic Centers by Enantioselective Cu-Catalyzed Conjugate Additions Promoted by a Chiral N-Heterocyclic Carbene," M. Kevin Brown, Tricia L. May, Carl A. Baxter and Amir H. Hoveyda Angew. Chem., Int. Ed. 2007, 46, 1097–1110.
"A Practical Method for Enantioselective Synthesis of All-Carbon Quaternary Stereogenic Centers through NHC-Cu-Catalyzed Conjugate Additions of Alkyl- and Arylzinc Reagents to b-Substituted Cyclic Enones," Kang-sang Lee, M. Kevin Brown, Alexander W. Hird and Amir H. Hoveyda J. Am. Chem. Soc. 2006, 128, 7182–7184.
"Highly Enantioselective Cu-Catalyzed Conjugate Additions of Dialkylzinc Reagents to Unsaturated Furanones and Pyranones. Preparation of Air Stable and Catalytically Active Cu-Peptide Complexes," M. Kevin Brown, Sylvia J. Degrado and Amir H. Hoveyda Angew. Chem., Int. Ed. 2005, 44, 5306–5310.
Post-Doctoral Publications
"Mechanism of the Enantioselective Oxidation of Racemic Secondary Alcohols Catalyzed by Chiral Mn(III)-Salen Complexes," M. Kevin Brown, Megan M. Blewett, James R. Colombe and E. J. Corey, J. Am. Chem. Soc. 2010, 132, 11165-11170.
"Catalytic Enantioselective Formation of Chiral-Bridged Dienes Which Are Themselves Ligands for Enantioselective Catalysis," M. Kevin Brown and E. J. Corey, Org. Lett. 2010, 11, 172-175


